Hopton Castle Parish
Hopton Castle Parish Meetings and Events
Skip to content
Home
About Us & Contact
Helpful Links and Information
What’s on at Bedstone and Hopton Castle Village Hall
Notice Board
Minutes of the last Parish Meeting
Parish Minutes Archive
Annual Governance and Accountability Report
Cycle Events
Community Energy and Climate Change
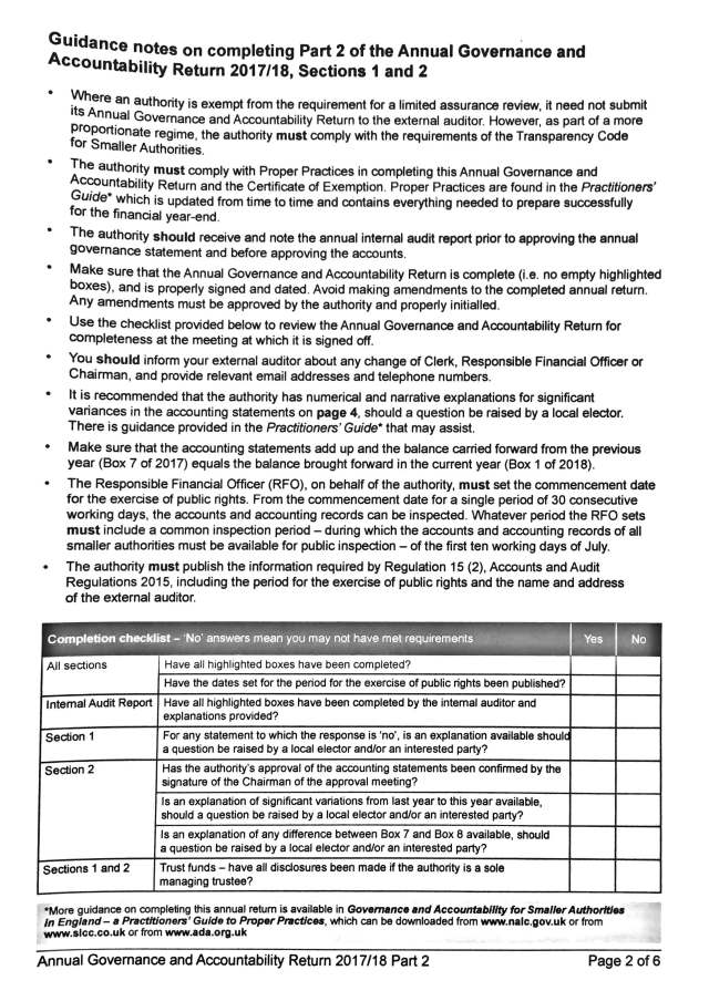
Annual Governance & Accountability Return 2017/18
Share this:
Share on X (Opens in new window)
X
Share on Facebook (Opens in new window)
Facebook
Like
Loading...
Search for:
Archives
February 2025
Meta
Create account
Log in
Hopton Castle Parish
Sign up
Log in
Copy shortlink
Report this content
Manage subscriptions
Loading Comments...
Write a Comment...
Email (Required)
Name (Required)
Website
%d